Breve descripción
The students will experience, how altitude measurements can be translated into maps that provide information about the topography of landscapes. A landscape model is hidden inside a box with the top of the lid covered with a coordinate grid of measuring points. They probe the model inside with a skewer that is used as a measuring rod. The length of the piece that protrudes from the lid corresponds to the altitude at that position. Afterwards, the students convert the data into altitude maps.
This resource is part of the educational kit "The Climate Box". You can read more about the kit in the presentation attached. Find all related resources selecting the category "Our fragile planet" and "secondary level".
Objetivos
The students will learn the principle of probing the height distribution of an unknown terrain as used in radar altimetry from satellites. They will construct altitude maps by analysing the data they obtained with their measurements.
Objetivos de aprendizaje
- The students will train their ability to extrapolate from a simple model.
- They will learn work accurately to not spoil the delicate measurements.
- They will learn to judge sources of measurement error.
- In one section of the activities, they will apply linear interpolation by using simple algebraic equations.
- Finally, they will understand the strength of remote altitude measurements from space.
Evaluación
Let the students compare their maps with the other groups and let them describe, what they think the model actually looks like. Eventually, let them open the box and compare their conclusions with the landscape model.
In the example used as template for this activity, the resulting 12 x 9 table contains numbers at 0.5 cm resolution, which should be a sufficient accuracy. Table 1 represents the results of the measurements done with the landscape model used in this example. The outcome naturally depends on the model prepared for this activity.
Table 1: Table of altitude measurements used in this example.

Converting this table into a colour coded altitude map results in Figure 3.

Figure 3: Colour coded altitude map derived from the measurements documented in Table 1.
The major features of the landscape model are well visible. The contour map is given in Figure 4.

Figure 4: Contour map of altitudes increasing in steps of one constructed form the values in .
The surface plot produced with Microsoft Excel (Activity 3) is shown in Figure 4.

Figure 5: Surface plot with two viewing angles as produced with Microsoft Excel 2010.
Materiales
- Background information with instructions (i.e. section below)
- Landscape models (one model for a group of two to four students)
- Boxes (one for each model)
- Wooden skewers (one for each model)
- Rulers, tape measures
- Colour pencils
- Calculators
- Graph paper, millimetre paper, plotting paper (https://commons.wikimedia.org/wiki/File:Graph_paper_mm_A4.pdf)
- For activity 3: Computers with Microsoft Excel installed (Version 2010 or later)
The landscape model can be anything that provides a good representation of actual scenery, e.g. hills, mountains, river beds, etc. It should be large enough to allow for a representative measuring grid, but not too big to keep the effort within reasonable limits. In this example, we use a double peaked hill made of plaster. However, other material like Styrofoam can be used as well. Nevertheless, it is advisable to provide a hard surface that prevents the skewers from poking into the model during the activity.

Figure 1: Landscape model made of plaster. During the exercise, it is hidden inside the box to the right (own work).
The model is hidden inside a box of similar dimensions with the measuring grid drawn on top of the lid. In this example, the grid consists of 12 x 9 measurements. At every intersection of the grid lines, poke a hole into the lid.

Figure 2: Schematic view of a landscape model inside a box with a measuring grid on top.
Información de referencia
Remote sensing
The term remote sensing indicates a measurement technique that probes and analyses the Earth from outer space. Besides classical in-situ methods like weather stations, field surveying or taking samples, satellite based measurements are becoming an increasingly important source of data. The advantage is the fast and complete coverage of large areas. However, satellite data are not always easy to interpret and need substantial treatment.
The most abundant remote sensing devices are weather satellites. By employing suitable sensors, they provide information about cloud coverage, temperature distributions, wind speed and directions, water levels and snow thickness. Keeping the evolving climate change in mind, those data play an increasing important role in disaster management during draughts and floods, climate simulations, atmospheric gas content and vegetation monitoring. In addition, urban and landscape management benefit from satellite data.

Figure 6: Overview of Landsat remote sensing satellites of NASA.
The first weather satellites were launched by NASA as early as 1960. In the beginning of the 1970s, NASA started their earth observation programme using Landsat satellites (Figure 5). In Europe, France was first using their SPOT satellite fleet. They were followed by the remaining European countries in the 1990s after the foundation of ESA, the European Space Agency.
The Copernicus Programme
Already since 1997 the USA and NASA have been building a large programme for exploring the Earth, labelled the Earth Observation System, which consists of a large number of different satellites. Starting in 1998, the European equivalent, the Global Monitoring for Environment and Security (GMES) is being developed. In 2012, the programme was renamed to Copernicus. Information products for six applications are being derived from the satellite data: ocean, land and atmosphere monitoring, emergency response, security and climate change. The data products are offered to everyone free of charge. They are supplied via two branches: space based remote sensing devices (satellite component) as well as airborne, ground and marine probing (in-situ component). The core of the satellite component is the fleet of Sentinel satellites that have been and are being built exclusively for the Copernicus projects. They are supplemented by other domestic and commercial partner missions. The first Sentinel satellite (Sentinel 1-A) was launched 2014. Sentinel-2A and 3-A followed 2015 and 2016, respectively.

Figure 7: Computer model of the Sentinel-1A satellite launched on 3 April 2014 (Credit: ESA).
Radar altimetry
Radar altimetry is a procedure to acquire differences in altitude on different terrains. Radar (radio detection and ranging) is a standardised method for measuring altitudes of the Earth surface. Satellites emit very short radio pulses (a few picoseconds, 1 ps = 10-12 s) with frequencies of several GHz which are reflected by the earth and received in return. The duration of the signal turn around (ranging) is a measure of the distance between the surface and the satellite. The signal itself also contains information about the nature of the ground that depending on their conditions reflect the signals in a different way.
Satellites that apply this kind of measuring technique are e.g. Envisat, Jason-1, CryoSat, and Sentinel-1A. In contrast to satellites that acquire images at visual wavelengths, radar satellites are largely independent of weather conditions and daylight. Radio waves transmit through clouds and so can probe the Earth’s surface even through thick cloud coverage. Since the wavelength compared to the visual range of the electromagnetic spectrum is larger large, the spatial resolution is comparably poor. This disadvantage can be overcome by special measuring and data analysis techniques.

Figure 8: Illustration of the procedure of radar altimetry (Credit: ESA).
An important application today is determining the varying ice thickness on sea and on land. The results permit shedding light on the advancing climate change and the amount of water originating from thawing ice. A satellite with exactly that purpose is the European CryoSat-2.

Figure 9: A colour coded altitude map of the arctic ice cover based on measurements of the CryoSat-2 satellite (Credit: BBC News, 21. Juni 2011, http://www.bbc.co.uk/news/science-environment-13829785; CPOM/UCL/ESA, http://www.esa.int/spaceinimages/Images/2011/06/Arctic_sea-ice_thickness).
The data obtained from radar altimetry are used to produce topographical maps that contain information on altitudes.
Colour coded altitude map
Conventional maps are typically two-dimensional bird’s eye views that provide constellations of landmarks and objects like roads, cities and borders. A simple method to indicate altitudes is colour coding (Figure 8). This is done by assigning colours to selected altitude ranges. This provides an overview on altitude distributions with the same spatial resolution as the measuring grid. An example how to produce such a map is given further below.

Figure 10: Example of a topographical map with contour lines (Credit: Eric Gaba, https://commons.wikimedia.org/wiki/File:Mackinac_Island_topographic_map-en.svg, https://creativecommons.org/licenses/by-sa/3.0/legalcode).
Contour lines
Particularly in topographical maps, altitudes are represented by contour lines that indicate zones of equal altitudes. An example is given in Figure 10, which provides both altitudes above and depths below sea level.
One can imagine contour lines as intersections of horizontal cuts through the landscape at equidistant altitude steps.

Figure 11: Illustration of the generation of contour lines indicating altitude. They can be regarded as the intersections of horizontal cuts through the landscape at equidustant altitude steps (Credit: Bavarian Surveying Administration).
The geometry of the contour lines permits deriving characteristics of the landscape. The closer the lines are aligned to each other, the steeper is the slope. Closed lines indicate a summit or a trough.

Figure 12: Closed lines with increasing altitude from the outside in indicate a summit (Credit: Bavarian Surveying Administration).
Constructing altitude maps
Altitude or topographic maps provide information on the geometry of landscapes in all three dimensions, if the underlying grid of altitude measurements is sufficiently dense. In the example to be used in these instructions we assume an area that was probed with an equidistant grid of 4 x 4 measurements. The results are given in Table 2. The numbers are without units, because they are irrelevant in this example.
Table 2: Grid of simulated altitude measurements. The numbers represent altitudes in arbitrary units.

The simplest way of producing a map from this, is constructing a colour coded altitude map as shown in Figure 13.

Figure 13: Colour coded altitude map based on the simulated altitude measurements. The distribution of colours corresponds to the coordinate grid of the measurement. The colours depict the intervals 2-4, 5-7, 8-10, 11-13, etc. (own work)
A computer generated profile of the measurement is shown in Figure 14. It can be reproduced using MS Excel 2010 and plotting the data as a surface chart. As expected, small numbers indicate low altitudes and large numbers correspond to high altitudes. Altitude ranges are colour coded. The intersections between colours can be interpreted as altitude contour lines. The next paragraphs demonstrate how contour maps can be constructed manually.

Figure 14: Profile of the simulated measurement. The altitude ranges are indicated as coloured zones. The borderlines indicate contour lines (own work).
The individual steps are given in Figure 15. Sketch a represents the regular grid of 4 x 4 measurements. Die distances between the vertices define the scale of the map. The data obtained at those grid points are added in sketch b to help find the interpolated values in the next step. They should not be added to the real map.
A set of equidistant altitudes to be interpolated for should be chosen. In this example, we select 6, 9, 12, and 15. The corresponding values are found by linear interpolation – both horizontally and vertically. For instance, 6 must lie in the middle between 5 and 7. The proper positions are found by applying a linear equation between two neighbouring data points.

Figure 15: Construction of a altitude contour map. a) Regular grid of 4 x 4 measurements; b) assignment of the 16 data points with numbers; c) horizonatlly and vertically interpolated datapoints for a given altitude; d) smooth conncetion of interpolated altitudes; e) interpolated contour lines of additional altitudes; f) resulting altitude contour map (own work).
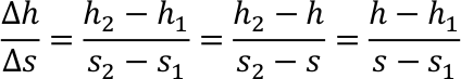
Imagine the distribution of altitude measurements shown in Figure 13 from a side perspective. Two neighbouring data points define a line (Figure 15). The measured values are assumed to be h1 at the position s1 and h2 at s2. The slope of that line is calculated as follows.


Figure 16: Visualisation of the linear interpolation between two data points (own work).
The position s of the interpolated value h must lie between s1 and s2. It can be found by using the previous equation an derive:

In line with the example given in Figure 15 , the known variables have the following values:

We want to construct the interpolated contour line for the value 6. This means:

The interpolated data point that belongs to the contour line for the value 6 can be found at a distance of 6 units from grid point s1. This must be repeated for all neighbouring pairs of values. The result is given in Figure 14c. The resulting points are connected with a smooth line, which leads to sketch d. Applying this procedure to all contour line values results in sketch e. The proper altitude contour map is given in sketch f.
In general, interpolating is not allowed between diagonally neighbouring grid points, because the interpolated lines usually do not lie within the plane of the square that is formed by four neighbouring grid points (Figure 17).

Figure 17: Diagonal lines of a measuring grid that consists of square cells (grey) are generally not in the plane of such a square. Therefore, they must not be used for interpolating and constructing contour lines (own work).
Descripción completa de la actividad
Introduction
The students should receive a copy of the background information provided with this package (see above). It is contains vital information to successfully analyse the data.
The activity should be carried out in groups of two to four. This helps to distribute the work (measuring, documenting the data, etc.).
Each group receives one box with the hidden landscape model inside. Hand out as many worksheets as pupils in the room that contain a table with empty rows and columns consistent with the grid of measuring positions on the lid of the box. In this example with 12 x 9 points, it looks like Table 3. Adjust the table to be handed out accordingly.
Each group gets a measuring device (rulers, tape measures), and a skewer.
Activity 1: Constructing a colour coded altitude map
The students use the skewers as measuring rods. They insert it in each hole or through each grid position and slide it down until it hits the ground. It is important that the skewer remains perpendicular to the plane of the lid at all times. Then they measure the length of the protruding end and note down the value in the table.
After visiting all grid points, they will have filled the table completely. Let them analyse the result. What are the minimum and maximum values? Now, they have to decide on the number of colours to represent the values.
Usually, a colour table ranging from violet for low numbers via different shades of blue, green, yellow, orange, and red is suitable for assigning colours to number intervals.
Let the students choose their own colour table (colours, steps) and paint the table cells accordingly. The colours will help to get a visual impression on the distribution of altitudes.
Table 3: Table to insert the measured values. In this example, the grid consists of 12 x 9 data points.

Activity 2: Constructing a contour map
This is a quite time consuming activity. It is suggested to start off with one or a few contour levels and leave the rest for homework.
Hand out the instructions for constructing a contour map (see background information, especially Figure 15). In addition, the students need rulers, calculators and graph paper for plotting.
Let the students transfer the measuring grid onto the graph paper. Remind them that each grid point corresponds to a cell in the table of measured values.
Let them decide on the number and values of the interpolated contour lines. The students calculate the positions of the interpolated values and place them inside their plot. Remind them to not interpolate diagonally. For each value, they connect the points smoothly.
Activity 3: Construct a 3D profile with Microsoft Excel
Provide PCs with MS Excel installed. It should be the software versions 2010 or later. Only they can produce surface plots.
Let the students transfer the table of measured values into a table in Excel.

Figure 18: Excel table of measured values.
In order plot the table as a surface plot, let the students highlight the entire table with the mouse and then select Insert -> Other charts -> Surface (first icon).

Figure 19: The surface plot can be produced via Insert -> Other Charts.
A new window appears that contains a surface plot of the altitude measurements. It is already a good representation of the hidden landscape model. Adjusting the viewing angles on the plot can be achieved by right-clicking on the plot and selecting 3-D Rotation.

Figure 20: Surface plots of the altitude measurements used in the example. Different viewing angles can be achieved (left: side view, right: top view showing contours) via the 3-D Rotation settings.
Note that the order of the rows displayed in the plot is from bottom to top, which differs from the input table. The order can be changed by double-clicking on the row axis and selecting Series in reverse order in the new window.

Figure 21: Dialogue window of MS Excel to change the settings of an axis. The axis respresenting the rows of the input table should be reversed.
After the activity
Discuss the advantages and applications of satellite radar altimetry.
- fast, coherent, wide coverage
- variable altitudes in a short timescale
- ice shield monitoring
- flood, disaster management
- monitoring water level rise, climate change
Plan de estudio
Space Awareness curricula topics (EU and South Africa)
Our fragile planet, satellites, surface
Conclusión
This lesson contains three activities that teach different ways of visualising data from altitude measurements. A landscape model hidden in a box is probed with a rod to systematically obtain the altitude distribution on a regular grid. This simulates the method of radar altimetry done with satellites from low Earth orbits. Those data are translated into three different maps (colour coding, contour map, computer generated surface map) of varying effort needed to construct them. From this the students learn how to interpret such maps. When discussing the applications in real life, they understand that radar altimetry from space is a powerful tool that helps in many different sectors like monitoring of climate change indicators and disaster management.

This resource was developed by Markus Nielbock, Haus der Astronomie, Heidelberg, Germany. This resource is under peer-review, proof reading, and will be updated and improved in the coming year.
